Publications

  • Katherine Hébert, Dagoberto Hernandez Acevedo, Victor Cameron, Sabrina Courant, Caroline Daguet, Andrew Gonzalez, Dominique Gravel, Jean Huot, Maximiliane Jousse, Claire-Cécile Juhasz, Camille Lévesque, Janaína Serrano, Anouk Simard, and Laura Pollock. (2025). Selecting indicators to track progress towards the Global Biodiversity Framework: a case study of Quebec's 2030 Nature Plan. FACETS. 10: 1-13.
    Read   PDF
  • Katherine Hébert. (2025). Biodiversity change is more than the sum of its parts. Nature Reviews Biodiversity. 1(283):1.
    Read  
  • Katherine Hébert, Maximiliane Jousse, Janaína de Andrade Serrano, Dirk N. Karger, F. Guillaume Blanchet, Laura J. Pollock. (2025). Five recommendations to fill the blank space in indicators at local and short-term scales. Biological Conservation. 302: 111007.
    Read   PDF Code
  • Pedro Henrique Pereira Braga, Katherine Hébert, Emma J. Hudgins, Eric R. Scott, Brandon P. M. Edwards, Luna L. Sánchez Reyes, Matthew J. Grainger, Vivienne Foroughirad, Friederike Hillemann, Allison D. Binley, Cole B. Brookson, Kaitlyn M. Gaynor, Saeed Shafiei Sabet, Ali Güncan, Helen Weierbach, Dylan G. E. Gomes, Robert Crystal-Ornelas. (2023). Not just for programmers: How GitHub can accelerate collaborative and reproducible research in ecology and evolution. Methods in Ecology and Evolution 14(6): 1364-1380.
    Read   PDF Code
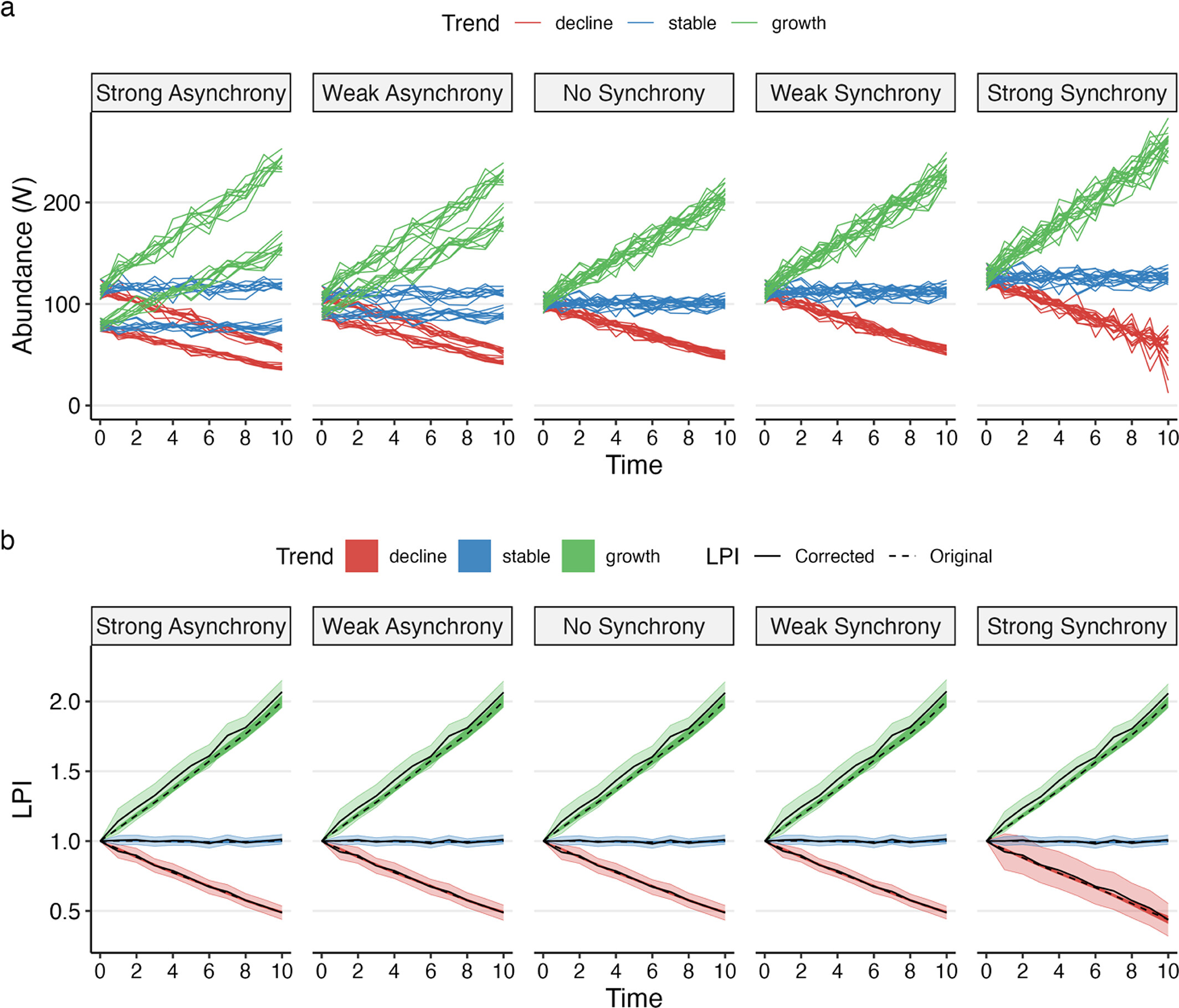
  • Katherine Hébert & Dominique Gravel. (2023). The Living Planet Index's ability to capture biodiversity change from uncertain data. Ecology 104(6): e4044.
    Read   PDF Code
  • Jake Lawlor, Francis Banville, Norma-Rocio Forero-Muñoz, Katherine Hébert, Juan Andrés Martínez-Lanfranco, Pierre Rogy, A Andrew M MacDonald. (2022). Ten simple rules for teaching yourself R. PLoS Computational Biology 18(9): e1010372.
    Read   PDF
  • Jessica Currie, Joseph B. Burant, Valentina Marconi, Stephanie A. Blain, Sandra Emry, Katherine Hébert, Garland Xie, Nikki A. Moore, Xueqi Wang, Andrea Brown, Lara Grevstad, Louise McRae, Stefano Mezzini, Patrick Pata, and Robin Freeman. (2022). Assessing the representation of species included within the Canadian Living Planet Index. FACETS. 7: 1121-1141.
    Read   PDF   Code
  • Katherine Hébert, Virginie Millien, and Jean-Philippe Lessard. (2021), Source pool diversity and proximity shape the compositional uniqueness of insular mammal assemblages worldwide. Journal of Biogeography, 48: 2337-2349.
    Read  PDF   Code
  • David Anthony Kirk, Katherine Hébert, Kathryn Freemark Lindsay, Elena Kreuzberg. (2020). Defining specialism and functional species groups in birds: First steps toward a farmland bird indicator. Ecological Indicators, 114, 106133.
    Read  PDF   Code
  • David Anthony Kirk, Katherine Hébert, Frank Barrie Goldsmith. (2019). Grazing effects on woody and herbaceous plant biodiversity on a limestone mountain in northern Tunisia. PeerJ, 7, e7296.
    Read  PDF  

Blitz the Gap in Canadian biodiversity data

Blitz the Gap (blitzthegap.org) is a Canada-wide bioblitz event to help us fill gaps in our knowledge of biodiversity in Canada. Canada is a large country and hosts tons of amazing biodiversity - which makes it a challenging place to survey. Though we’ve made progress thanks to community science platforms like iNaturalist, we are still lacking data for a whole host of ecological and conservation applications.

In the summer of 2025, we designed "challenges" to ask iNaturalist users to help us fill these gaps - and they delivered! Check out the challenges, code tutorials, and more information on pollocklab.github.io/blitz-the-gap. Stay tuned for some cool analyses coming up this fall as the final observations roll in!

So many indicators, not enough time. Which ones should we use to track change?

Biodiversity indicators may not sound flashy, but they are essential: they tell us whether our conservation and management strategies are working and where we need to adjust course. This paper is a window into the first year of my postdoc, which involved sorting through >100 biodiversity indicators in 6 months with over 70 collaborators! We show how (and why) we brought together scientists, government representatives, and practitioners in a collaborative process to recommend 15 indicators to track progress towards Québec’s 2030 Nature Plan 🌱, in alignment with the Global Biodiversity Framework 🌎.

We're tracking a moving target - and we really need finer-scale indicators of biodiversity change!

With 2030 fast approaching, we need timely, actionable indicators to guide conservation. From our GEOBON 2023 workshop, we highlight a major gap in biodiversity indicators — the tools used to track species, ecosystems, and conservation progress. While global indicators like the Red List Index and Living Planet Index are useful, they aren't designed to detect the local, short-term changes that are crucial for meeting GBF 2030 targets. We share five recommendations to fill this gap!

How well do we capture biodiversity change when our data are uncertain?

This is the first chapter of my Ph.D., in which we track how uncertainties in population abundance data can impact our ability to capture biodiversity change with the Living Planet Index (LPI), which is a crucial tool to track global biodiversity change. Like most indicators, the LPI sacrifices information to summarize thousands of population trends into a single communicable index - but these sacrifices can distort the ecological reality we are trying to track. We use math and simulations to develop a correction for the LPI, which is especially important to apply when populations are small (and most vulnerable), and when many populations covary with each other.

Sharing is caring, and that goes for code too!

I have loved GitHub ever since I figured out how to use it (and that took... a while). I love sharing code, working collaboratively, and reading and using code other people share. I had the very cool experience of co-writing a paper entirely on GitHub (!) with many brilliant people about how GitHub can accelerate research in ecology and evolution.

Species pool diversity shapes unique island communities.

How does regional pool diversity shape unique mammal communities on islands globally? Find out in this Journal of Biogeography blog post I wrote about my very first first-author article!

Workshops & Tutorials

These are workshops and tutorials I have developed with friends to share what we have learned about programming and statistics.

Making sampling priority maps for Blitz the Gap

by Katherine Hébert

This is an example workflow to identify gaps in a biodiversity database (like GBIF or iNaturalist), and to generate raster maps where each cell is assigned a priority level for sampling in a bioblitz event. Each map will cross biodiversity priorities with accessibility to identify the cells that are easiest to sample while helping to fill a biodiversity data gap.

Learn more
Tutorial Code

Introduction to GitHub & GitHub Actions

by Pedro Henrique Pereira Braga & Katherine Hébert

A demonstration of GitHub Actions, which can automate workflows to build, test, and publish content in your repositories, including some tips about how to implement and troubleshoot actions that perform R code testing, Rmarkdown document rendering, and website publishing.

Learn more
Slides Code

Introduction to Shiny Apps

by Katherine Hébert, Andrew Macdonald, Jake Lawlor, Vincent Bellavance

This practical training covers the basics of Shiny app development. You’ll learn the principles of reactive programming, how to create interactive options and displays for your users, and how to layout and style your Shiny app.

Learn more
Tutorial Code

Data Visualization

by Alex Arkilanian & Katherine Hébert

General principles of visualization and graphic design, and techniques of tailored visualization.

Learn more
Slides Code

Science Communication

by Gracielle Higino & Katherine Hébert

An overview of basic concepts of effective science communication and how social media can boost your research and extend your network.

Learn more
Slides Code

Linking Community Ecology And Evolutionary Biology To Your Programming Skills

by Pedro Henrique P. Braga & Katherine Hébert

A quick dive into the various approaches used in community phylogenetics to detect evolutionary patterns in the assembly of ecological communities.

Learn more
Tutorial Code